经典化简求值题
2025-10-27 03:49 来源:网络 点击:
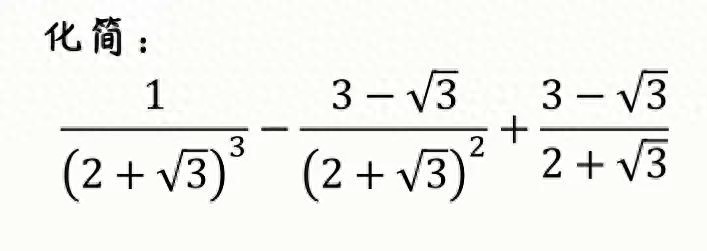
经典化简求值题

解:原式=(2-√3)³/(2+√3)³(2-√3)³-(3-√3)(2-√3)²/(2+√3)²(2-√3)²+(3-√3)(2-√3)/(2+√3)(2-√3)
=(2-√3)³-(3-√3)(2-√3)²+(3-√3)(2-√3)=(2-√3)²(2-√3-3+√3)+(3-√3)(2-√3)=-(2-√3)²+(3-√3)(2-√3)=(2-√3)(-2+√3+3-√3)=2-√3
相关标签:
-
- 东莞华贝电子工资怎么样?看看企业环境能猜到吗?
-
2025-10-27 03:47:03
-
- 波尔-波尔前四场场均10分2.8帽,投篮命中率65.4%
-
2025-10-27 03:44:47
-
- 祝贺!中国航天成功完成首次海上发射
-
2025-10-27 03:42:31
-
- 阅兵车牌号是1949和2019!网友:这细节,瞬间哭了
-
2025-10-27 03:40:16
-
- 快讯!长垣撤县设市
-
2025-10-26 05:12:17
-
- 出行留意!诸城汽车站春节期间发车计划出炉
-
2025-10-26 05:10:01
-
- 张馨予发微博称:"最喜欢对画面。"网友:是在向男方示爱?
-
2025-10-26 05:07:46
-
- 突发!上海警方通报
-
2025-10-26 05:05:30
-
- 世界GDP排名
-
2025-10-26 05:03:14
-
- 山东农村姑娘结婚用网店陪嫁
-
2025-10-26 05:00:58
-
- 湖人正式签约霍华德
-
2025-10-26 04:58:43
-
- 央视315晚会曝光食物,朋友吹牛说她身体好百毒不侵,315后我信了
-
2025-10-26 04:56:27
-
- 襄垣县“引才”名单公示
-
2025-10-26 04:54:11
-
- 霞山观海长廊红树林栈道又上新了
-
2025-10-26 04:51:56
-
- 2023年10月10日农历八月二十六
-
2025-10-25 16:20:26
-
- 郑州地铁线路图超高清最新版(2025年)
-
2025-10-25 16:18:10
-
- 珍藏高清壁纸|靓丽而自律的高气质美女张钧甯
-
2025-10-25 16:15:54
-
- 小额贷款已成毒瘤
-
2025-10-25 16:13:39
-
- 象棋基本战术
-
2025-10-25 16:11:23
-
- 他是主持人,更是我们敬爱的何老师!
-
2025-10-25 16:09:07



禹州旅游攻略有哪些(分享天放晴去耍)
国内艺术类大学排名大公开!清华美院不在行列?
收藏!一文看懂钢铁行业发展现状及未来市场前景(智研咨询发布)
《武林外传》中的郭巨侠,他的背后隐藏着什么格局和深意?
最疯狂领导人上台!这个国家,一夜变天……
围魏救赵 - 美军发动仁川登陆作战
央视特约评论员杨禹的评论有且只能具有正能量
田英章楷书春联带横批好几十幅
甘肃庆阳:花灯璀璨映年韵 童声笑语满社区
不为装逼 不买iPad Pro的6大理由!