天津轨道交通线路大全(建议收藏)
天津轨道交通线路大全(建议收藏)
“探索行者”致力于探索人文地理冷知识,旨在为读者呈现鲜为人知的知识,了解大自然的鬼斧神工和神奇的风光。

编辑/制图/审核:探索行者

天津轨道交通图标
目前天津已开通运行的轨道交通线路有10条,总里程约310公里、车站总数有192个(包含24个换乘站);即将建成通车线路6条、总里程约195公里、车站数量119个。

天津轨道交通线路图
已通车运行
轨道交通1号线
通车时间:1984.12.28
运行区间:双桥河站⇌刘园站
线路里程:42公里
站点数量:28个

轨道交通1号线线路图
轨道交通2号线
通车时间:2012.7.1
运行区间:曹庄站⇌滨海国际机场站
线路里程:27公里
站点数量:20个

轨道交通2号线线路图
轨道交通3号线
通车时间:2012.10.1
运行区间:南站站⇌小淀站
线路全长:33.7公里
站点数量:26个

道交通3号线线路图
轨道交通4号线
通车时间:2021.12.28
运行区间:东南角站⇌新兴村站
线路全长:19.4公里
站点数量:14个

轨道交通4号线线路图
轨道交通5号线
通车时间:2018.10.22
运行区间:北辰科技园北站⇌李七庄南站
线路全长:34.8公里
站点数量:28个

轨道交通5号线线路图
轨道交通6号线一期
通车时间:2016.8.6
运行区间:南孙庄站⇌渌水道站
线路全长:43.4公里
站点数量:39个

轨道交通6号线一期线路图
轨道交通6号线二期
通车时间:2021.12.28
运行区间:渌水道⇌咸水沽西站
线路全长:14.9公里
站点数量:9个

轨道交通6号线二期线路图
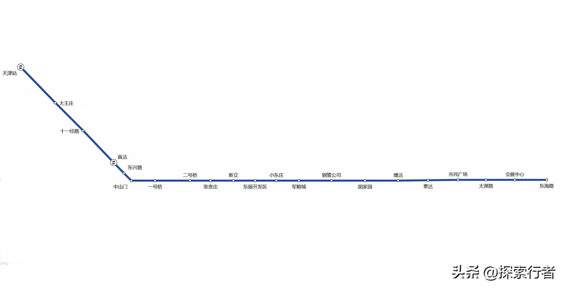
轨道交通9号线
通车时间:2004.3.28
运行区间:天津站站⇌东海路站
线路全长:52.8公里
站点数量:21个

轨道交通9号线线路图
轨道交通10号线
通车时间:2022.11.18
运行区间:于台站⇌屿东城站
线路全长:21.2公里
站点数量:21个

轨道交通10号线线路图
轨道交通11号线
通车时间:2023.12.28
运行区间:东江道站⇌东丽六经路站
线路全长:12.3公里
站点数量:11个

轨道交通11号线线路图
即将建成通车
轨道交通4号线北段
通车时间:预计2025.7.23
运行区间:小街站⇌东南角站
线路全长:22公里
站点数量:17个

轨道交通4号线北段规划线路图
轨道交通7号线一期
通车时间:预计2024年
运行区间:喜峰道站⇌赛达路站
线路全长:26.5公里
站点数量:21个

轨道交通7号线一期线路图
轨道交通8号线一期
通车时间:预计2024年底
运行区间:绿水公园站⇌渌水道站(不含)
线路全长:18.6公里
站点数量:18个

轨道交通8号线一期线路图
轨道交通B1线
通车时间:预计2024年12月
运行区间:欣嘉园东站⇌新城四站
线路全长:31.3公里
站点数量:22个

轨道交通B1线规划线路图
轨道交通Z2线一期
通车时间:预计2025年7月
运行区间:金钟河大街站⇌北塘站
线路全长:52.4公里
站点数量:17个

轨道交通Z2线一期规划线路图
轨道交通Z4线一期
通车时间:预计2024年下半年
运行区间:营城街站⇌新城六站
线路全长:43.7公里
站点数量:24个

轨道交通Z4线一期规划线路图
天津轨道交通线路详情列表

天津轨道交通线路列表
【声明】创作不易,希望大家能够尊重本人的劳动成果,不要随意抄袭或篡改。如果大家对这些信息有任何疑问或建议,欢迎随时与我交流。感谢大家的支持和理解!
- 一周文艺:“思南书单2024”发布,《哪吒2》冲击全球票房前十
- 驻马店职业技术学院:成立于2009年的公办全日制高等职业技术院校
- 汕头大学现任女校长,被网友冠以“最美”称号,她因何受人喜爱?
- 平台经济迈出关键一步:1200万外卖骑手纳入社保背后的社会变革。
- 从“央视名嘴”到“跳梁小丑”,跌下神坛的张绍刚究竟有多荒唐
- 那些年席卷全球的韩国洗脑神曲!你听过几首?
- 高考生家长必看!孩子想进国家电网?这六所电力院校是首选
- 37个国家出入境卡样本及填写指引 赶紧收藏吧
- 深度解析:《葫芦兄弟》为何成就了中国动画的巅峰之作?
- 徐州女教师李秀娟首度发声!绝笔信女教师事件最新情况 夫妻二人已找到绝笔内容
-
- 驻马店职业技术学院:成立于2009年的公办全日制高等职业技术院校
-
2026-03-19 03:20:54
-
- 汕头大学现任女校长,被网友冠以“最美”称号,她因何受人喜爱?
-
2026-03-19 03:18:40
-
- 平台经济迈出关键一步:1200万外卖骑手纳入社保背后的社会变革。
-
2026-03-19 03:16:25
-
- 从“央视名嘴”到“跳梁小丑”,跌下神坛的张绍刚究竟有多荒唐
-
2026-03-19 03:14:11
-
- 那些年席卷全球的韩国洗脑神曲!你听过几首?
-
2026-03-18 00:59:20
-
- 高考生家长必看!孩子想进国家电网?这六所电力院校是首选
-
2026-03-18 00:57:05
-
- 37个国家出入境卡样本及填写指引 赶紧收藏吧
-
2026-03-18 00:54:51
-
- 深度解析:《葫芦兄弟》为何成就了中国动画的巅峰之作?
-
2026-03-18 00:52:37
-
- 徐州女教师李秀娟首度发声!绝笔信女教师事件最新情况 夫妻二人已找到绝笔内容
-
2026-03-18 00:50:22
-
- 2023武汉中考注意事项来了!附23所高中作息时间一览
-
2026-03-18 00:48:08
-
- 三毛自杀前:曾打电话求助好友,17年后遗书公布,才知她自缢真相
-
2026-03-18 00:45:54
-
- 日本黑社会——“极道”
-
2026-03-18 00:43:39
-
- 王安石变法:一场富国强兵的豪赌,为何最终沦为“烂尾工程”?
-
2026-03-18 00:41:25
-
- 江西一学生因叫“赵C”,被警察局要求改名,最终结果如何?
-
2026-03-18 00:39:10
-
- 诗琳通公主终身未嫁为泰国王室奉献一生心血
-
2026-03-13 07:19:40
-
- 国产防弹衣有多牛?全球70%的防弹衣市场,都是中国的天下
-
2026-03-13 07:17:26
-
- 东皇太一:宇宙主宰与神话传奇
-
2026-03-13 07:15:12
-
- 江西瑞昌6214民营医院宣告倒闭,称亏损严重,网友:以前口碑很好
-
2026-03-13 07:12:57
-
- 韩信的传人陈豨,以一己之力却将整个汉朝搅得底朝天的狠人
-
2026-03-13 07:10:43
-
- 广东镇街:小榄镇,中山第一强镇,78万人口,年GDP近500亿元!
-
2026-03-13 07:08:29



杨恭如:我其实与郑国霖都没有恋爱,又何来结婚
NBA火箭队总经理莫雷发表涉港不当言论,中国篮协暂停交流合作
全球十大最贵的首饰珠宝,第一名的希望之星蓝钻被誉为无价之宝
恭喜《非诚勿扰》第306期13号女嘉宾:高铨 女神结婚啦
揭晓与百名上将的兵法情怀之五十三 · 童世平上将
生孩子报喜句子,宝宝出生朋友圈报喜文案
昌江属于哪个市(海南昌江县属于哪个市)
日本人口是多少亿(日本全国1.25亿人基本与广东省相当)
西北五省区省会城市经济实力排名