35 预付年金:现值
35 预付年金:现值
在前面我已经给出了32 普通年金:终值、33 普通年金:现值、34 预付年金:终值的计算过程及python计算程序。本篇是有关年金计算问题的收尾篇,除了继续给出预付年金现值的计算过程外,作为收尾我将在文末给出货币是价值终值现值计算的一般性通用合并pyhon计算程序,供大家学习参考,希望能对您的学习有所帮助。
一、预付年金
预付年金是指在每期期初支付的年金,又称为即付年金或期初年金。发生在每期期初。
二、预付年金现值
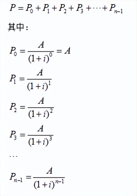
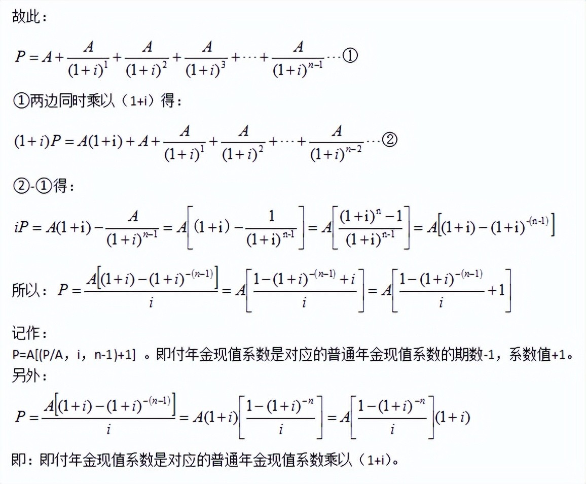
预付年金支付形式如下图所示。其现值就是将每期期初发生的现金流A,按照复利的原理计算其现在的值后再求和。关注点是现在的价值,“0时点的价值”。

根据上图:


三、预付年金现值计算程序
# ============================================================================= # # -*- coding: utf-8 -*- # """ # This is python program # Created on Tue Sep 21 10:02:42 2022 # @author: zgr # """ # A代表年金。如A=100。广播为每期现金流,可以每期不一样,如可以设为cashflow=[232,190,380,120,,,] # rate贴现率/利率。如rate=0.1。也可以每期不一样,如相应的,rate=[8%,6%,12%,10%,,,] # n为期数 # when=1表示现金流发生在期末,即普通年金。程序设定的默认值为1。 # when=0表示现金流发生在期初,即预付年金。 # 该段程序不仅仅是用来计算年金现值,如果把A设置为对应每期的现金流cashlow, # rate设置为对应期间的贴现率/利率,如:cashflow=[120,300,234,,,,] # rate = [0.1,0.12,0.08,,,,,]则程序就计算出对应的现值。 # ============================================================================= import numpy as np def pv_A(A,rate,n,when=1): A = np.array(A) rate = np.array(rate) if when == 1: n = np.arange(1,n+1) else: n = np.arange(0,n) pv_A = A/(1+rate)**n return round(pv_A.sum(),2) # when=0,先付,预付,即付; # when=1,后付,普通 pv_A(A=100,rate=0.1,n=3,when=0)

四、求解终值和现值的通用合并程序
import numpy as np def pv_fv(cashflow,rate,n,when=1,fv=0): cashflow = np.array(cashflow) rate = np.array(rate) if fv == 0: if when == 1: n = np.arange(1,n+1) else: n = np.arange(n) pv = cashflow/(1+rate)**n return round(pv.sum(),2) else: if when == 1: n = sorted(np.arange(0,n),reverse=True) else: n = sorted(np.arange(1,n+1),reverse=True) fv = cashflow*(1+rate)**n return round(fv.sum(),2)
仅供参考。
-
- 《历史记忆》The Spirit of Audrey 奥黛丽精神
-
2025-09-21 04:48:45
-
- 王小利儿子说后妈挑事,父子断绝关系,网友说比郭麒麟幸福多了
-
2025-09-21 04:46:29
-
- 去汕头和汕尾玩了几天,说几句掏心窝的话,句句发自肺腑
-
2025-09-21 04:44:13
-
- 盘点高分日漫电影推荐
-
2025-09-21 04:41:58
-
- 福州的地标建筑——福道
-
2025-09-19 01:51:49
-
- PONY仿妆霉霉 朴惠敏pony个人资料微博照片
-
2025-09-19 01:49:33
-
- 2025新年春节hellokitty喜庆壁纸背景图|祝新年快乐,喜气洋洋!
-
2025-09-19 01:47:18
-
- 100天后,许昌万达广场将盛大开业!一个逛吃逛吃的新地方!
-
2025-09-19 01:45:02
-
- 易方达中小盘110011成立以来收益率近800%,离1000%仅一步之遥
-
2025-09-19 01:42:46
-
- 一年级数学看图列式计算小卡片已更新!赶紧练起来!
-
2025-09-19 01:40:31
-
- 吴世勋与迪丽热巴即将拍摄《亲爱的阿基米德》,被爆吻戏床戏超多
-
2025-09-19 01:38:15
-
- 突发:四川泸州4.9级地震
-
2025-09-19 01:35:59
-
- 青岛市气象台继续发布寒潮蓝色预警信号
-
2025-09-19 01:33:44
-
- 曝光张国荣年轻时候的一组照片,帅到没朋友!
-
2025-09-19 01:31:28
-
- 2015-2019年烟台市常住人口数量、户籍人口数量及人口结构分析
-
2025-09-18 03:55:01
-
- 重庆电信宽带 新春限时福利30元话费拿走
-
2025-09-18 03:52:45
-
- 一课译词:目中无人
-
2025-09-18 03:50:30
-
- 一般人刷不到的佛系壁纸
-
2025-09-18 03:48:14
-
- 杨幂性感比基尼泳装写真
-
2025-09-18 03:45:58
-
- 王者荣耀铭文出售不了怎么办?新版卖铭文技巧
-
2025-09-18 03:43:43



国内艺术类大学排名大公开!清华美院不在行列?
最疯狂领导人上台!这个国家,一夜变天……
围魏救赵 - 美军发动仁川登陆作战
收藏!一文看懂钢铁行业发展现状及未来市场前景(智研咨询发布)
禹州旅游攻略有哪些(分享天放晴去耍)
《武林外传》中的郭巨侠,他的背后隐藏着什么格局和深意?
央视特约评论员杨禹的评论有且只能具有正能量
田英章楷书春联带横批好几十幅
不为装逼 不买iPad Pro的6大理由!
汾阳,一个令人向往的城市,解放时期的小太原